Contents

Prodotti di consumo Industria
The Practical Guide to Surface Science (2026)

?s=100&d=m
Written by
No biography added yet.
Read More
?s=100&d=m
Reviewed by
N/A
No biography added yet.
Read More
?s=100&d=m
Written By

No biography added yet.

?s=100&d=m
Reviewed By

N/A N/A

No biography added yet.

This is a practical guide to Surface Science for researchers working in the Consumer Products Industry.

In this all-new guide you’ll learn all about:

  • Crucial surface science principles
  • The significance of surface science measurements for the Consumer Products industry
  • Applicable ASTM Standards & Guidelines

Let’s dive right in.

Colorful showcase in cosmetic market

Executive Summary

What it covers: A practical, end-to-end guide to surface science for consumer products; how to measure and interpret contact angle (static + advancing/receding), surface tension (static + dynamic), surface energy, and sliding/roll-off angle to understand real coatings, films, and substrates. It ties the measurements to common product needs like adhesion, cleanability, repellency, durability, and functional coatings.
Key insights: Real-world surfaces show contact angle hysteresis, so advancing/receding angles typically give a more reliable picture than a single static value—especially for assessing cleanliness, roughness, and coating uniformity. Method choice matters (Young–Laplace vs. polynomial fit), dynamic surface tension is critical when interfaces evolve quickly (foams, droplet/bubble formation, drying coatings), and roll-off angle must be interpreted only within a tightly controlled protocol.
Business value: Turns “surface performance” into measurable R&D screens and QC gates; helping teams benchmark treatments, spot contamination/treatment drift early, and reduce iteration time when developing coatings, adhesives, packaging films, and anti-fog/anti-adherent surfaces. Supports practical substitution and sustainability efforts (e.g., PFAS-free and bio-based approaches) by verifying performance under relevant conditions (including sub-zero screening) while improving lot-to-lot consistency.
Standards to follow: Use ISO 19403-7:2024 for tilt-stage roll-off (sliding) angle and (when supported) dynamic advancing/receding angles during motion, with disciplined reporting of liquid, droplet volume, tilt protocol, environment, replicates, and censored outcomes when instrument tilt limits are reached. For the other measurements, align your SOPs with the applicable ISO/ASTM wettability, surface tension, and surface energy methods used in your lab so results are reproducible and comparable across teams and sites.
Bottom line: This is a standards-aware field guide showing what to measure, when to measure it, and how to connect surface metrics to consumer-product performance—backed by benchmark droplet references, practical interpretation guardrails, and real application examples that translate directly into faster development and more defensible QC.

Chapter 1: Introduction

Consumer products leverage diverse surface properties to achieve specific functionalities. Food packaging materials, for example, require water resistance, grease resistance, and antimicrobial properties to extend shelf life and minimize waste. To enhance clothing and textile durability and ease of care, fabrics are often treated for water resistance, stain resistance, and wrinkle resistance.

Non-stick cookware utilizes surface coatings to prevent food from sticking, even when cooked without oil or butter. Anti-scratch glasses are coated with a hard, durable material that resists scratches, extending their lifespan and maintaining their appearance. Windows benefit from a titanium dioxide coating that breaks down dirt and grime under sunlight, simplifying cleaning.

These examples showcase how manipulating surface characteristics allows for achieving desired outcomes across a wide range of consumer products.

We use the following surface properties to understand the behavior of Consumer Products products and improve their quality.

Chapter 2: Contact Angle Measurement

The contact angle quantifies the wettability of a surface by representing the angle between a liquid’s surface and a solid surface.
Dropletlab Research

Sample Image taken from Droplet Lab Tensiometer.

Young – Laplace Method

Metodo polinomiale

Dynamic Contact Angle

Ideally, when we place a drop on a solid surface, a unique angle exists between the liquid and the solid surface. We can calculate the value of this ideal contact angle (the so-called Young’s contact angle) using Young’s equation. In practice, due to surface geometry, roughness, heterogeneity, contamination, and deformation, the contact angle value on a surface is not necessarily a single consistent value but rather falls within a range. The upper and lower limits of this range are known as the advancing and receding contact angles, respectively. The values of advancing and receding contact angles for a solid surface are highly sensitive to many parameters, such as temperature, humidity, homogeneity, and minor contamination of the surface and liquid. For example, the advancing and receding contact angles of a surface can differ at different locations.

Dynamic Contact Angle versus Static Contact Angle

Practical surfaces and coatings naturally show contact angle hysteresis, indicating a range of equilibrium values. When we measure static contact angles, we get a single value within this range. Solely relying on static measurements poses problems, like poor repeatability and incomplete surface assessment regarding adhesion, cleanliness, roughness, and homogeneity.

In practical applications, we need to understand how easily a liquid spreads (advancing angle) and how easily it is removed (receding angle), such as in painting and cleaning. Measuring advancing and receding angles offers a holistic view of liquid-solid interaction, unlike static measurements, which yield an arbitrary value within the range.

This insight is crucial for real-world surfaces with variations, roughness, and dynamics, aiding industries like cosmetics, materials science, and biotechnology in designing effective surfaces and optimizing processes.

Learn how Contact Angle measurement is done on our Tensiometer

For a more complete understanding of Contact Angle measurement, read our Contact Angle measurement: The Definitive Guide

Open Benchmark Data: Contact Angle & Surface Energy

These reference measurements show how deionized water wets four standard substrates measured with the Droplet Lab Dropometer. Use them as visual and numerical benchmarks when you're checking your own sample preparation, treatments, and chemistry.

Full contact angle and surface energy datasets (including additional liquids and statistics) are available on our dataset hub.

Glass - DI Water
Glass - DI Water
Nylon - DI Water
Nylon - DI Water
PMMA - DI Water
PMMA - DI Water
Teflon - DI Water
Teflon - DI Water

The droplet images above are taken from the same benchmark series as our open dataset. For each substrate and probe liquid we report:

● Advancing and receding contact angles (and hysteresis)
● Derived surface energy (SFE) values based on multi-liquid measurements
● Measurement conditions, uncertainties, and sample preparation details

Comparing your own droplet shapes and angles against these references is a fast way to spot contamination, treatment drift, or unexpected changes in wettability.

Chapter 3: Surface Tension Measurement

This property measures the force that acts on the surface of a liquid, aiming to minimize its surface area.

Misurazione della tensione superficiale

Sample Image taken from Droplet Lab Tensiometer

Dynamic Surface Tension

Dynamic surface tension differs from static surface tension, which refers to the surface energy per unit area (or force acting per unit length along the edge of a liquid surface).

Static surface tension characterizes the equilibrium state of the liquid interface, while dynamic surface tension accounts for the kinetics of changes at the interface. These changes could involve the presence of surfactants, additives, or variations in temperature, pressure, and composition at the interface.

When to use Dynamic Surface Tension Measurement

Dynamic surface tension is essential for processes that involve rapid changes at the liquid-gas or liquid-liquid interface, such as droplet and bubble formation, coalescence (change in surface area), the behavior of foams, and the drying of paints (change in composition, e.g., evaporation of solvent). It is measured by analyzing the shape of a hanging droplet over time.

Dynamic surface tension applies to various industries, including cosmetics, coatings, pharmaceuticals, paint, food and beverage, and industrial processes, where understanding and controlling the behavior of liquid interfaces is essential for product quality and process efficiency.

Learn how Surface Tension measurement is done on our Tensiometer

For a more complete understanding of Surface Energy measurement, read our Surface Tension measurement: The Definitive Guide

Chapter 4: Surface Energy Measurement

Surface energy refers to the energy required to create a unit area of a new surface.
231

Sample Image taken from Droplet Lab Tensiometer

Learn how Surface Energy measurement is done on our Tensiometer

For a more complete understanding of Surface Energy measurement, read our Surface Energy measurement: The Definitive Guide

For benchmark contact angle and surface energy values on glass, nylon, PMMA, and Teflon, see the Open Benchmark Data panel above or visit our Dataset Hub for full CSV downloads.

Chapter 5: Sliding Angle Measurement

The sliding angle measures the angle at which a liquid film slides over a solid surface. It is commonly employed to assess the slip resistance of a surface.

sliding angle 1

Sample Image taken from Droplet Lab Tensiometer

Learn how Sliding Angle measurement is done on our Tensiometer

For a more complete understanding of Sliding Angle measurement, read our Sliding Angle Measurement: The Definitive Guide

Chapter 6: Real-World Applications

Within the Consumer Products industry, several case studies exemplify the advantages of conducting surface property measurements.

Designing PFAS-free, bio-based performance waxes for consumer sporting goods using sub-zero contact angle screening

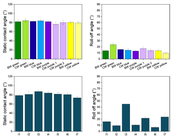
This report describes the development of bio-based prototype ski waxes and their benchmarking against commercial PFAS-free, petroleum-based ski waxes, with emphasis on hydrophobicity, glide performance on snow, biodegradation, and hardness. The prototypes were formulated from bio-derived ingredients selected to be acceptable for topical application or ingestion, and adjusted based on melting points, hydrophobic tendencies, and learnings from earlier prototype testing. The guiding hypothesis was that greater water repellency could improve glide by helping remove the thin water film formed at the ski–snow interface. Hydrophobicity was quantified using contact angle measurements (water and ethylene glycol) at controlled room conditions, and additionally at sub-zero temperature (−5 °C) using a portable setup. Across wax formulations, static, advancing, and receding contact angles were broadly similar between bio-based prototypes and commercial comparators at both temperatures; however, commercial waxes showed slightly lower roll-off behavior with water at room conditions, while ingredient-level testing produced larger differences than finished wax comparisons. On-snow glide testing with multiple skiers did not clearly separate bio-based from commercial wax performance, indicating comparable glide under the tested conditions. The report also compared biodegradation using a compost respiration approach, finding the tested bio-based wax degraded more quickly than the commercial wax under the study assumptions. Hardness testing at −5 °C showed several commercial waxes were harder than their bio-based counterparts, with one exception where the bio-based “yellow” wax was harder than the corresponding commercial wax. The report concludes that the bio-based prototypes are competitive with conventional PFAS-free products while offering advantages in renewability and biodegradation, and notes future opportunities such as optimizing ingredient ratios, adding bio-based performance additives, and developing a liquid-format wax.

Role of the Droplet Lab Goniometer

A portable Droplet Lab contact angle instrument (tensiometer) was rented and placed in a freezer room at −5 °C specifically to enable sub-zero contact angle measurements when attempts to cool the lab-based setup faced practical issues (e.g., condensation and temperature mismatch between droplet and surface). Using ethylene glycol as the probe liquid (lower freezing point than water), the Droplet Lab system enabled evaluation of static contact angle and approximate roll-off behavior under winter-relevant conditions, supporting realistic screening of wax hydrophobicity for cold-weather consumer performance products.

Key Findings

  • All tested waxes were hydrophobic in room-temperature water testing (static contact angles >90°), and bio-based prototypes matched commercial waxes closely in static and dynamic (advancing/receding) angles.
  • Roll-off (sliding) angles with water at room temperature were slightly lower for commercial waxes versus corresponding bio-based prototypes, indicating marginally easier droplet shedding in that condition.
  • Ethylene glycol produced lower contact angles than water on the same wax surfaces and behaved differently, highlighting that probe-liquid choice can change apparent “hydrophobicity” ranking.
  • Using the Droplet Lab portable system at −5 °C (ethylene glycol), waxes still showed similar static contact angles, and roll-off differences were smaller (with added variability due to manual tilting).
  • On-snow glide performance was not significantly different across the tested waxes; bio-based prototypes were comparable to commercial PFAS-free products in the field test.
  • In compost respiration testing, the bio-based wax showed faster estimated complete degradation (reported estimate: 223 days vs 335 days for the commercial wax, under stated assumptions).

Why It Matters

For consumer performance products like ski wax, brands must balance glide performance, usability, and increasingly sustainability/chemical stewardship (e.g., PFAS-free positioning and renewable content). This study demonstrates a practical development pathway where contact angle + roll-off angle metrics can be used as formulation screens to guide ingredient selection and prototype iteration, while sub-zero testing with a portable goniometer helps validate that water-repellency behavior persists near real-use temperatures. The outcome—bio-based waxes performing comparably to established commercial products—supports decision-making around material substitution, eco-claims with performance parity, and potential quality specifications (e.g., minimum static angle / maximum roll-off angle thresholds) for batch-to-batch control.

Method Snapshot

  • Sample: Wax films prepared by melting a ski-wax layer onto microscope glass (wax iron).
  • Droplet/conditions: Room temperature measurements used 25 µL droplets and a tilt rate of 0.30°/s to obtain static/advancing/receding angles plus roll-off; sub-zero measurements used ethylene glycol at −5 °C with 4–5 droplets per sample using the portable Droplet Lab device.
  • Surface tension reference: Probe liquid surface tensions were listed (e.g., water 72.8 mN/m, ethylene glycol 47.7 mN/m) in Table 1.

Data Note

Figure reports the static contact angles and approximate roll-off angles at −5 °C obtained using the portable Droplet Lab contact angle instrument in the freezer room. (Instrument shown in Figure 3.)

Figure

Citation (APA Format)

Skedung, L., & Almgren Stenberg, E. (2024). Bio-based ski wax: Prototype development, hydrophobicity, hardness, biodegradation and glide performance on snow (RISE Report 2024:53). RISE Research Institutes of Sweden AB.

View Publication →

Water-based Adhesive

Fluctuating oil prices presented a major challenge for manufacturers who relied on oil-based adhesives. This forced them to seek alternative solutions. Researchers identified natural rubber latex (NRL) water-based adhesive as a promising alternative. To ensure its successful implementation, they investigated the peel and holding strengths of various paper backings on stainless steel and glass substrates. Through surface energy and contact angle experiments on different backing papers, they discovered that mahjong paper had the highest surface energy (59.50 mN/m), making it an ideal substrate for optimal adhesive wetting.

Water-based Adhesive

Product’s affinity to the wrapping material

Challenge: Food products sticking to their packaging can increase the risk of harmful package compounds migrating into the food or unwanted off-flavors being absorbed.

Solution: Researchers identified that to address this, packaging films need to be both hydrophobic (water-repelling) and have low surface energy. However, the same film also needs to adhere well to the outer layer of the packaging. Therefore, to improve adherence to other plastic layers, they decided to increase the surface energy of the packaging film. They employed the widely used corona discharge treatment (CDT) for this purpose. To assess the level of adhesion achieved, the R&D team measured the contact angle of the treated film, which helps determine how much the surface energy has increased by introducing polar groups to the surface.

Product’s affinity to the wrapping material

Fogging Issues on Sports Goggles

An eyewear company faced a fogging problem with their sports goggles, hindering athletes' visibility during activities. To combat this, they actively developed hydrophobic coatings using contact angle measurements. Their aim was to achieve an optimal angle that minimized water adhesion, the key factor in fog formation. By minimizing adhesion, they successfully created anti-fog eyewear, significantly improving user experience across various sports.

Fogging Issues on Sports Goggles

The polydimethylsiloxane (PDMS) Wetting by Water

PDMS, despite being hydrophobic, surprisingly absorbs up to ~30 mM of water upon contact. Researchers addressed this challenge by measuring advancing and receding contact angles of water droplets on cross-linked PDMS. They discovered that PDMS adapts to water by enriching the interface with free oligomers, leading to a net decrease in surface tension. This crucial information helps us develop strategies to minimize water affinity and improve the performance of PDMS materials.

The polydimethylsiloxane (PDMS) Wetting by Water

Adhesion Improvement in Mobile Device Screen Protectors

To address the challenge of poor adhesion, the screen protector manufacturer's technical team actively measured the surface energy of different materials. This allowed them to select materials with compatible surface energies, ensuring strong adhesion between the screen and the protector. This proactive approach significantly enhanced the reliability of their screen protectors, directly meeting consumer expectations for durable and long-lasting device protection.

Adhesion Improvement in Mobile Device Screen Protectors

We are your partners in solving your Business & Technological challenges

If you are interested in implementing these or any other applications, please contact us.

Chapter 7: Standards and Guidelines

In an industry where precision reigns supreme, how can Consumer Products manufacturers ensure their products withstand scrutiny? The answer lies in standards and guidelines: the compass that guides them through the complex maze of quality and performance.

ISO 19403-7:2024 — Contact Angle on a Tilt Stage (Roll-Off / Sliding Angle)

What it is

International standard method for determining the roll-off (sliding) angle, α—defined as the tilt angle at which a droplet just begins to move on a solid surface using a tilt stage. It also defines how to determine dynamic advancing and receding contact angles (θₐ/θᵣ) during roll-off to evaluate easy-to-clean / anti-adherent surfaces.

When to use it

Easy-to-clean / anti-adherent screening & benchmarking

Use when you need a quantitative droplet-mobility metric (α, and optionally θₐ/θᵣ) to compare coatings, treatments, or materials under a controlled droplet/tilt protocol.

QC mobility gate (lot-to-lot / process control)

Use when you want a repeatable acceptance criterion tied to droplet shedding (e.g., “α must be ≤ X°”) and monitored using replicates and a reference (“golden”) panel.

In-scope / Out-of-scope

In scope
  • Roll-off/sliding angle measurement on a tilt stage under a defined liquid, droplet volume, and tilt procedure (rate or step/dwell).
  • Optional dynamic θₐ/θᵣ during motion at (or immediately after) the onset of droplet movement, when your capture/analysis supports front/rear angle extraction.
  • Coated and treated surfaces where droplet mobility matters, including coated panels, plastics, glass, and films.
  • Replicate, multi-spot measurements intended to capture heterogeneity/defects and support robust reporting (e.g., median + IQR).
Out of scope
  • Static contact angle-only characterization (use a static CA method/standard if that’s the objective).
  • Direct surface energy or liquid surface tension measurement (requires other test methods).
  • Uncalibrated “self-cleaning” or performance claims without correlation to functional outcomes (cleanability/release tests).
  • Angles beyond the mechanical capability of the tilt stage (e.g., if the stage is limited to 0°–60°, true α > 60° cannot be directly measured).

Minimum you must report (checklist)

  • Test liquid (identity and preparation) and droplet volume.
  • Tilt protocol (tilt rate or step size, dwell time, starting angle, and maximum tilt achievable).
  • Specimen description (material/coating system, finish/texture, treatment history, and cleaning/handling method).
  • Environmental conditions (temperature, relative humidity, conditioning time if used).
  • Roll-off result: α (degrees) if roll-off occurs within range, or a censored outcome such as “No roll-off observed by X° (instrument limit)”.
  • Replicates & sampling plan (number of spots/locations) plus summary statistic (e.g., median) and spread (IQR or SD).
  • Validity/exclusion criteria (e.g., non-axisymmetric drop, baseline/edge-fit failure, visible contamination, vibration/tilt instability).
  • If reported: θₐ/θᵣ during motion (how front/rear angles were extracted and at what moment/frame relative to onset of motion).

Note: Roll-off angle is highly sensitive to droplet volume, liquid, and tilt rate/step rules, so these must be locked in an SOP for meaningful comparisons. If your instrument’s tilt range is capped (e.g., 0°–60°), surfaces requiring >60° must be reported as out-of-range (e.g., “α ≥ 60° / no roll-off observed”) rather than as a true ISO roll-off value.

How to interpret results (guardrails)

  • Lower α generally indicates easier shedding for that liquid and protocol, but do not compare α across different droplet volumes, liquids, or tilt procedures.
  • High static contact angle ≠ good mobility: strong pinning/hysteresis can yield high α or no roll-off within the instrument limit (including “sticky” regimes).
  • Treat “no roll-off by X°” as a censored measurement, suitable for screening/QC trending but not a substitute for an actual α if your spec requires values above X°.
  • Set pass/fail thresholds by correlation, linking α (and variability across spots) to functional outcomes (cleanability, release, anti-adhesion) and tracking drift with a reference panel.

Now It’s Your Turn

We hope this guide showed you how to apply surface science in the Consumer Products industry.

Now we’d like to turn it over to you: 

Feel free to leave a comment below—we’d love to hear from you.

Leave a Reply

Your email address will not be published. Required fields are marked *


Scarica l'esperimento