Primary surface measurement reported
Sessile-drop contact angle (CA) measurements using a water droplet were used to evaluate surface hydrophilicity of mixed liquor and membrane samples.
Client Citation Analysis
Sessile-drop contact angle (CA) measurements using a water droplet were used to evaluate surface hydrophilicity of mixed liquor and membrane samples.
CA measurements were conducted employing a “droplet sessile CA method (Droplet Smart Tech Inc., Markham, ON, Canada).”
Contact angle changes were used to compare employed membranes versus unused membranes under different SRTs and to support interpretation of SRT-linked changes in membrane surface properties during sludge digestion.
Both the mixed liquor and membrane samples underwent triplicate analyses, with subsequent computation of average values.
15.1
Q1 - Chemistry: Analytical Chemistry (7/160) Q1 - Chemical Engineering: Filtration and Separation (3/19)
1.383
1.697
9.0
Q1 - ENGINEERING, CHEMICAL (16/176)
Contact angle (CA) measurements were performed using a sessile droplet method with a 3 μL water droplet to determine surface hydrophilicity.
Surface characterization included FTIR for residual foulants, SEM/EDX for membrane morphology and elemental composition, and XPS for elemental composition/chemical state/surface characteristics. The study also reports zeta potential (mixed liquor supernatants), SEM-image-derived surface roughness (Ra, Rq) and pore size distribution (ImageJ-based analysis), SEM texture analysis (Gwyddion), and particle size distribution (laser diffraction).
Contact angle measurements were conducted employing a droplet sessile CA method (Droplet Smart Tech Inc., Markham, ON, Canada) using a 3 μL water droplet to determine surface hydrophilicity; mixed liquor and membrane samples underwent triplicate analyses with average values computed.
In the results and discussion, the contact angle outputs support comparisons of employed versus unused membranes across SRT conditions and are used in the interpretation of membrane surface-property changes during sludge digestion.
Compared to unused membranes, contact angles of employed membranes decreased by 20% (32-day SRT), 24% (45-day SRT), and 39% (55-day SRT).
The authors report that solids retention time significantly impacted contact angle values (p < 0.01).
The authors state that the contact angle change indicates wettability of the employed membrane declined during sludge digestion, and they discuss wettability deterioration in relation to membrane fouling resistance and performance.
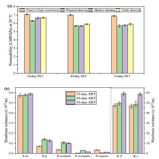
Shows permeability of pristine membranes and employed membrane after physical/chemical cleaning and reports membrane resistances under different SRTs.
Illustrates pore size distribution comparisons between used and pristine membranes, supporting the membrane surface-property narrative used alongside wettability discussion.
Presents FTIR spectra for pristine and used membranes and discusses band intensity differences across SRT conditions.
Provides SEM images and surface textures of virgin and used membranes under different SRTs after physical and chemical cleaning.
Within the paper’s residual-fouling characterization workflow, contact angle measurements provide a surface-property indicator that is used alongside morphology (SEM) and surface chemistry (FTIR/XPS) to compare membrane condition across operating SRTs.
The study uses these wettability-linked outputs to support its interpretation that membrane surface properties evolve during sludge digestion and to connect surface-property changes with fouling resistance and membrane performance under different SRT conditions.
A 3 μL water droplet was used for contact angle measurements, with triplicate analyses and averaging reported for mixed liquor and membrane samples.
Contact angle changes are reported as percent decreases for employed membranes versus unused membranes at 32-, 45-, and 55-day SRT conditions.
Contact angle measurements are presented alongside SEM/EDX, FTIR, XPS, and SEM-image-based roughness/pore metrics in the residual fouling characterization workflow.
The authors report a significant SRT effect on contact angle (p < 0.01), supporting comparisons across operating conditions.